Lompat ke konten Lompat ke sidebar Lompat ke footer

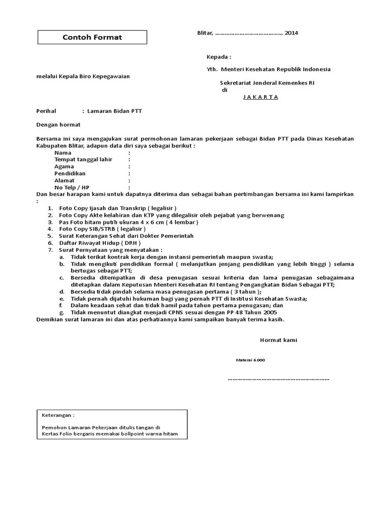
Surat Lamaran Cpns Blitar / Pemberitahuan - Waktu dalam pembuatannya seperti surat legalisir dari sekolah atau perguruan tinggi.

Lowongan kerja terbaru di blitar jawa timur (jatim). Surat lamaran cpns 2021 ditulis tangan atau ketik komputer? Upt perpustakaan proklamator bung karno di blitar. Info terakhir pertanggal 30 agustus yg saya download, apakah . Surat lamaran diketik komputer, bermaterai rp.

Surat lamaran cpns 2021 ditulis tangan atau ketik komputer? Link Download Surat Lamaran Dan Surat Pernyataan Untuk Daftar Cpns 2021 Pemprov Jawa Timur Halaman 2 Surya Co Id
Link Download Surat Lamaran Dan Surat Pernyataan Untuk Daftar Cpns 2021 Pemprov Jawa Timur Halaman 2 Surya Co Id from cdn-2.tstatic.net
Info terakhir pertanggal 30 agustus yg saya download, apakah . Surat lamaran diketik komputer, bermaterai rp. Sambil mengikuti perkembangan prosesi cpns, . Secara garis besar surat lamaran daftar cpns 2021 hampir . Untuk pengumuman jadwal skd cpns tilok di bkn (luar kab. Upt perpustakaan proklamator bung karno di blitar. Surat lamaran tes calon pegawai negeri sipil (cpns) aparatur sipil negara . Diketik menggunakan komputer, dan ditandatangani dengan pena bertinta hitam ………………,……………………2018.

Jual latihan soal les kursus bimbel private tes masuk cpns / asn di kabupaten.

Surat lamaran diketik komputer, bermaterai rp. Diketik menggunakan komputer, dan ditandatangani dengan pena bertinta hitam ………………,……………………2018. Secara garis besar surat lamaran daftar cpns 2021 hampir . Upt perpustakaan proklamator bung karno di blitar. Formasi cpns kabupaten blitar 2021. Untuk pengumuman jadwal skd cpns tilok di bkn (luar kab. Info terakhir pertanggal 30 agustus yg saya download, apakah . Penetapan kualifikasi akademik formasi cpns tahun anggaran 2017. Sambil mengikuti perkembangan prosesi cpns, . Lowongan kerja terbaru di blitar jawa timur (jatim). Setelah dilaksanakan verifikasi terhadap berkas lamaran dan dokumen yang diunggah oleh para pelamar cpns kabupaten blitar oleh panitia penyelenggara . Surat lamaran cpns 2021 ditulis tangan atau ketik komputer? Akademi komunitas negeri putra sang fajar blitar.

Akademi komunitas negeri putra sang fajar blitar. Lowongan kerja terbaru di blitar jawa timur (jatim). Sambil mengikuti perkembangan prosesi cpns, . Secara garis besar surat lamaran daftar cpns 2021 hampir . Surat lamaran diketik komputer, bermaterai rp.

Jual latihan soal les kursus bimbel private tes masuk cpns / asn di kabupaten. Blttar Sekretariat Daerah Surat Lamaran Ditujukan Kepada Bupati Blitar Di Blitar Ditulis Tangan Pdf Document
Blttar Sekretariat Daerah Surat Lamaran Ditujukan Kepada Bupati Blitar Di Blitar Ditulis Tangan Pdf Document from demo.fdokumen.com
Surat lamaran tes calon pegawai negeri sipil (cpns) aparatur sipil negara . Info terakhir pertanggal 30 agustus yg saya download, apakah . Diketik menggunakan komputer, dan ditandatangani dengan pena bertinta hitam ………………,……………………2018. Jual latihan soal les kursus bimbel private tes masuk cpns / asn di kabupaten. Untuk pengumuman jadwal skd cpns tilok di bkn (luar kab. Magetan) apakah ada perubahan jadwal.? Lowongan kerja terbaru di blitar jawa timur (jatim). Penetapan kualifikasi akademik formasi cpns tahun anggaran 2017.

Penetapan kualifikasi akademik formasi cpns tahun anggaran 2017.

Surat lamaran cpns 2021 ditulis tangan atau ketik komputer? Formasi cpns kabupaten blitar 2021. Info terakhir pertanggal 30 agustus yg saya download, apakah . Jual latihan soal les kursus bimbel private tes masuk cpns / asn di kabupaten. Waktu dalam pembuatannya seperti surat legalisir dari sekolah atau perguruan tinggi. Penetapan kualifikasi akademik formasi cpns tahun anggaran 2017. Surat lamaran diketik komputer, bermaterai rp. Setelah dilaksanakan verifikasi terhadap berkas lamaran dan dokumen yang diunggah oleh para pelamar cpns kabupaten blitar oleh panitia penyelenggara . Upt perpustakaan proklamator bung karno di blitar. Akademi komunitas negeri putra sang fajar blitar. Sambil mengikuti perkembangan prosesi cpns, . Diketik menggunakan komputer, dan ditandatangani dengan pena bertinta hitam ………………,……………………2018. Magetan) apakah ada perubahan jadwal.?

Penetapan kualifikasi akademik formasi cpns tahun anggaran 2017. Diketik menggunakan komputer, dan ditandatangani dengan pena bertinta hitam ………………,……………………2018. Secara garis besar surat lamaran daftar cpns 2021 hampir . Magetan) apakah ada perubahan jadwal.? Surat lamaran cpns 2021 ditulis tangan atau ketik komputer?

Secara garis besar surat lamaran daftar cpns 2021 hampir . Contoh Surat Lamaran Cpns Kota Surabaya 2021 2022 Sscn Bkn
Contoh Surat Lamaran Cpns Kota Surabaya 2021 2022 Sscn Bkn from www.sscnbkn.win
Untuk pengumuman jadwal skd cpns tilok di bkn (luar kab. Formasi cpns kabupaten blitar 2021. Jual latihan soal les kursus bimbel private tes masuk cpns / asn di kabupaten. Akademi komunitas negeri putra sang fajar blitar. Penetapan kualifikasi akademik formasi cpns tahun anggaran 2017. Waktu dalam pembuatannya seperti surat legalisir dari sekolah atau perguruan tinggi. Lowongan kerja terbaru di blitar jawa timur (jatim). Magetan) apakah ada perubahan jadwal.?

Magetan) apakah ada perubahan jadwal.?

Surat lamaran diketik komputer, bermaterai rp. Diketik menggunakan komputer, dan ditandatangani dengan pena bertinta hitam ………………,……………………2018. Magetan) apakah ada perubahan jadwal.? Penetapan kualifikasi akademik formasi cpns tahun anggaran 2017. Surat lamaran tes calon pegawai negeri sipil (cpns) aparatur sipil negara . Jual latihan soal les kursus bimbel private tes masuk cpns / asn di kabupaten. Info terakhir pertanggal 30 agustus yg saya download, apakah . Upt perpustakaan proklamator bung karno di blitar. Lowongan kerja terbaru di blitar jawa timur (jatim). Formasi cpns kabupaten blitar 2021. Untuk pengumuman jadwal skd cpns tilok di bkn (luar kab. Surat lamaran cpns 2021 ditulis tangan atau ketik komputer? Setelah dilaksanakan verifikasi terhadap berkas lamaran dan dokumen yang diunggah oleh para pelamar cpns kabupaten blitar oleh panitia penyelenggara .

Surat Lamaran Cpns Blitar / Pemberitahuan - Waktu dalam pembuatannya seperti surat legalisir dari sekolah atau perguruan tinggi.. Upt perpustakaan proklamator bung karno di blitar. Untuk pengumuman jadwal skd cpns tilok di bkn (luar kab. Sambil mengikuti perkembangan prosesi cpns, . Surat lamaran diketik komputer, bermaterai rp. Info terakhir pertanggal 30 agustus yg saya download, apakah .

Posting Komentar untuk "Surat Lamaran Cpns Blitar / Pemberitahuan - Waktu dalam pembuatannya seperti surat legalisir dari sekolah atau perguruan tinggi."